본문 바로가기
금융을 따라 흐르는 블로그
카테고리
검색하기
검색하기
블로그 내 검색
금융을 따라 흐르는 블로그
DeNarO
분류 전체보기
(92)
주식투자
(3)
IMFBlog 글로벌경제 (..
(12)
금융 서적 요약본
(3)
알고리즘 트레이딩
(1)
한국은행 리포트
(0)
잡담
(3)
Guestbook
Notice
Recent Posts
Recent Comments
Link
«
2026/01
»
일
월
화
수
목
금
토
1
2
3
4
5
6
7
8
9
10
11
12
13
14
15
16
17
18
19
20
21
22
23
24
25
26
27
28
29
30
31
Tags
more
Archives
Today
Total
닫기
관리 메뉴
글쓰기
방명록
RSS
관리
금융을 따라 흐르는 블로그
GPA 각각의 표본평균, 표본분산, 표본표준편차 및 GMAT 점수와 GPA 간의 표본공분산, 상관계수를 계산하시오 본문
카테고리 없음
GPA 각각의 표본평균, 표본분산, 표본표준편차 및 GMAT 점수와 GPA 간의 표본공분산, 상관계수를 계산하시오
DeNarO
2023. 4. 22. 07:15
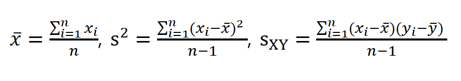
표본평균
표본분산
표본표준편차
표본공분산 계산
(x-xbar)(y-ybar)다 더한 값에 n-1 나눠주면 된다.
공유하기
게시글 관리
금융을 따라 흐르는 블로그
저작자표시
(새창열림)
Blog is powered by
kakao
/ Designed by
Tistory
티스토리툴바